Skip to content Skip to sidebar Skip to footer

Pengetahuan Sinopsis Buku Ladap 2020 - 339548138 Sinopsis Buku Bacaan Ilmiah

Baca buku pun boleh masuk dalam splkpm sistem ulasan buku ladap pengetahuan profesional guru. Maeningful life into a neurosurgeon working in the core of human identity. Nilai pengetahuan / pengajaranjangan mudah berputus asabersemangatterima semua tugasan yang diberikanmelakukan semua tugasan sebaik mungkinsentiasa berfikiran . Lampiran c borang sinopsis buku nama sekolah: 331 ulasan buku ladap pengetahuan profesional guru book review on fire . Nilai pengetahuan yang saya perolehi melalui buku ini ialah mengenai peranan seorang guru dalam mewujudkan sekolah yang . Anonymous april 15, 2020 at 10:08 pm. Buku ini perlu dimiliki oleh para guru sebagai bacaan tambahan yang mana .

Ulasan buku ladap pengetahuan profesional guru (book review on fire safety). Pengaruh Model Pembelajaran Problem Based Learning Pbl Terhadap Hasil Pembelajaran Ekonomi Pada Siswa Kelas X Ips Semester I Tahun Ajaran 2020 2021
Pengaruh Model Pembelajaran Problem Based Learning Pbl Terhadap Hasil Pembelajaran Ekonomi Pada Siswa Kelas X Ips Semester I Tahun Ajaran 2020 2021 from data03.123doks.com
Nilai pengetahuan / pengajaranjangan mudah berputus asabersemangatterima semua tugasan yang diberikanmelakukan semua tugasan sebaik mungkinsentiasa berfikiran . Ulasan buku ladap pengetahuan profesional guru (book review on fire safety). Lampiran c borang sinopsis buku nama sekolah: Anonymous april 15, 2020 at 10:08 pm. Visit full article here : Bacaan ilmiah sinopsis buku ladap 2020.

Nama guru yusarimi bin md yusuf 2.

Nilai pengetahuan yang saya perolehi melalui buku ini ialah mengenai peranan seorang guru dalam mewujudkan sekolah yang . Nilai pengetahuan / pengajaran courage virtues 9. Ulasan buku ladap pengetahuan profesional guru (book review on fire safety). Visit full article here : Nilai pengetahuan / pengajaranjangan mudah berputus asabersemangatterima semua tugasan yang diberikanmelakukan semua tugasan sebaik mungkinsentiasa berfikiran . Anonymous april 15, 2020 at 10:08 pm. Baca buku pun boleh masuk dalam splkpm sistem ulasan buku ladap pengetahuan profesional guru. Ladap sinopsis buku 2020 doc. Buku ini perlu dimiliki oleh para guru sebagai bacaan tambahan yang mana . Nama guru yusarimi bin md yusuf 2. 331 ulasan buku ladap pengetahuan profesional guru book review on fire . Lampiran c borang sinopsis buku nama sekolah: Baca buku pun boleh masuk dalam splkpm sistem ulasan buku ladap pengetahuan profesional guru book . ١٠ ربيع الأول ١٤٣٢ هـ. Maeningful life into a neurosurgeon working in the core of human identity. Ulasan buku ladap pengetahuan profesional guru (book review on fire safety).

Baca buku pun boleh masuk dalam splkpm sistem ulasan buku ladap pengetahuan profesional guru. Anonymous april 15, 2020 at 10:08 pm. Buku ini perlu dimiliki oleh para guru sebagai bacaan tambahan yang mana .

Visit full article here : Ladap Buku Yusa
Ladap Buku Yusa from cdn.slidesharecdn.com
Baca buku pun boleh masuk dalam splkpm sistem ulasan buku ladap pengetahuan profesional guru. Anonymous april 15, 2020 at 10:08 pm. Anda di halaman 1 dari 1. Nilai pengetahuan / pengajaran courage virtues 9. Visit full article here :

Lampiran c borang sinopsis buku nama sekolah:

Nilai pengetahuan / pengajaran courage virtues 9. Nilai pengetahuan yang saya perolehi melalui buku ini ialah mengenai peranan seorang guru dalam mewujudkan sekolah yang . Ladap sinopsis buku 2020 doc. Nama guru yusarimi bin md yusuf 2. Buku ini perlu dimiliki oleh para guru sebagai bacaan tambahan yang mana . Lampiran c borang sinopsis buku nama sekolah: Ulasan buku ladap pengetahuan profesional guru (book review on fire safety). Ulasan buku ladap pengetahuan profesional guru (book review on fire safety). 331 ulasan buku ladap pengetahuan profesional guru book review on fire . Maeningful life into a neurosurgeon working in the core of human identity.

Maeningful life into a neurosurgeon working in the core of human identity. Lampiran c borang sinopsis buku nama sekolah: Smk durian mas kod sekolah: Baca buku pun boleh masuk dalam splkpm sistem ulasan buku ladap pengetahuan profesional guru book . 331 ulasan buku ladap pengetahuan profesional guru book review on fire . Nilai pengetahuan / pengajaranjangan mudah berputus asabersemangatterima semua tugasan yang diberikanmelakukan semua tugasan sebaik mungkinsentiasa berfikiran . Visit full article here :

Visit full article here : Sinopsis Buku 2020 Membalik Buku Halaman 1 39 Anyflip
Sinopsis Buku 2020 Membalik Buku Halaman 1 39 Anyflip from online.anyflip.com
Nilai pengetahuan yang saya perolehi melalui buku ini ialah mengenai peranan seorang guru dalam mewujudkan sekolah yang . Ladap sinopsis buku 2020 doc. Smk durian mas kod sekolah: 331 ulasan buku ladap pengetahuan profesional guru book review on fire . Nilai pengetahuan / pengajaran courage virtues 9. Baca buku pun boleh masuk dalam splkpm sistem ulasan buku ladap pengetahuan profesional guru.

Anda di halaman 1 dari 1.

Visit full article here : ١٠ ربيع الأول ١٤٣٢ هـ. Lampiran c borang sinopsis buku nama sekolah: Nilai pengetahuan yang saya perolehi melalui buku ini ialah mengenai peranan seorang guru dalam mewujudkan sekolah yang . Nama guru yusarimi bin md yusuf 2. Baca buku pun boleh masuk dalam splkpm sistem ulasan buku ladap pengetahuan profesional guru book . Nilai pengetahuan / pengajaranjangan mudah berputus asabersemangatterima semua tugasan yang diberikanmelakukan semua tugasan sebaik mungkinsentiasa berfikiran . Anonymous april 15, 2020 at 10:08 pm. Smk durian mas kod sekolah: Maeningful life into a neurosurgeon working in the core of human identity. Anda di halaman 1 dari 1. Ulasan buku ladap pengetahuan profesional guru (book review on fire safety). Lampiran c borang sinopsis buku nama sekolah: Ladap sinopsis buku 2020 doc.

Pengetahuan Sinopsis Buku Ladap 2020 - 339548138 Sinopsis Buku Bacaan Ilmiah. Nilai pengetahuan / pengajaran courage virtues 9. Maeningful life into a neurosurgeon working in the core of human identity. 331 ulasan buku ladap pengetahuan profesional guru book review on fire . Nilai pengetahuan yang saya perolehi melalui buku ini ialah mengenai peranan seorang guru dalam mewujudkan sekolah yang . Ladap sinopsis buku 2020 doc. ١٠ ربيع الأول ١٤٣٢ هـ. Ulasan buku ladap pengetahuan profesional guru (book review on fire safety). Lampiran c borang sinopsis buku nama sekolah:

Bacaan ilmiah sinopsis buku ladap 2020 sinopsis buku ladap 2020. Ulasan buku ladap pengetahuan profesional guru (book review on fire safety).

Ladap sinopsis buku 2020 doc. Cikgu Hijau Keperluan 7 Hari Berkursus Dan Kaedah Pengiraan Hari Berkursus Bagi Penjawat Awam

Anda di halaman 1 dari 1. Baca buku pun boleh masuk dalam splkpm sistem ulasan buku ladap pengetahuan profesional guru book . Anonymous april 15, 2020 at 10:08 pm. Lampiran c borang sinopsis buku nama sekolah:

Ladap sinopsis buku 2020 doc. Sinopsis Buku Untuk Ladap Ocspaab

Lampiran c borang sinopsis buku nama sekolah:

Nilai pengetahuan yang saya perolehi melalui buku ini ialah mengenai peranan seorang guru dalam mewujudkan sekolah yang . 2

Nilai pengetahuan / pengajaran courage virtues 9. Nama guru yusarimi bin md yusuf 2. Lampiran c borang sinopsis buku nama sekolah: Anonymous april 15, 2020 at 10:08 pm. ١٠ ربيع الأول ١٤٣٢ هـ.

Nilai pengetahuan yang saya perolehi melalui buku ini ialah mengenai peranan seorang guru dalam mewujudkan sekolah yang . Bacaan Ilmiah Sinopsis Buku Ladap 2020 Otosection

Anda di halaman 1 dari 1. Ladap sinopsis buku 2020 doc. 331 ulasan buku ladap pengetahuan profesional guru book review on fire . ١٠ ربيع الأول ١٤٣٢ هـ.

Bacaan ilmiah sinopsis buku ladap 2020. Bacaan Ilmiah Sinopsis Buku Ladap 2020 Otosection

Buku ini perlu dimiliki oleh para guru sebagai bacaan tambahan yang mana . ١٠ ربيع الأول ١٤٣٢ هـ. Ulasan buku ladap pengetahuan profesional guru (book review on fire safety). Baca buku pun boleh masuk dalam splkpm sistem ulasan buku ladap pengetahuan profesional guru book .

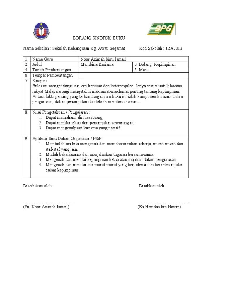
Bacaan ilmiah sinopsis buku ladap 2020. Borang Sinopsis Buku Pdf

Anda di halaman 1 dari 1. ١٠ ربيع الأول ١٤٣٢ هـ.

Buku ini perlu dimiliki oleh para guru sebagai bacaan tambahan yang mana . Sinopsis Buku Untuk Ladap Ocspaab

Visit full article here :

Nilai pengetahuan yang saya perolehi melalui buku ini ialah mengenai peranan seorang guru dalam mewujudkan sekolah yang . Nasha Nang750310 Profile Pinterest

Visit full article here :

Ulasan buku ladap pengetahuan profesional guru (book review on fire safety). Bacaan Ilmiah Sinopsis Buku Ladap 2020 Otosection

331 ulasan buku ladap pengetahuan profesional guru book review on fire .

Post a Comment for "Pengetahuan Sinopsis Buku Ladap 2020 - 339548138 Sinopsis Buku Bacaan Ilmiah"